2024年广州一模的考试时间安排在3月18日开始,小编为各位整理了2024年广州一模各科试卷及答案解析,包括了语文答案及试卷、数学答案及试卷、英语试卷及答案等,想了解本次考试各科答案的考生可以在本文查看。

2024广州一模各科试卷及答案解析
1、2024广州一模语文试卷及答案










非标答:

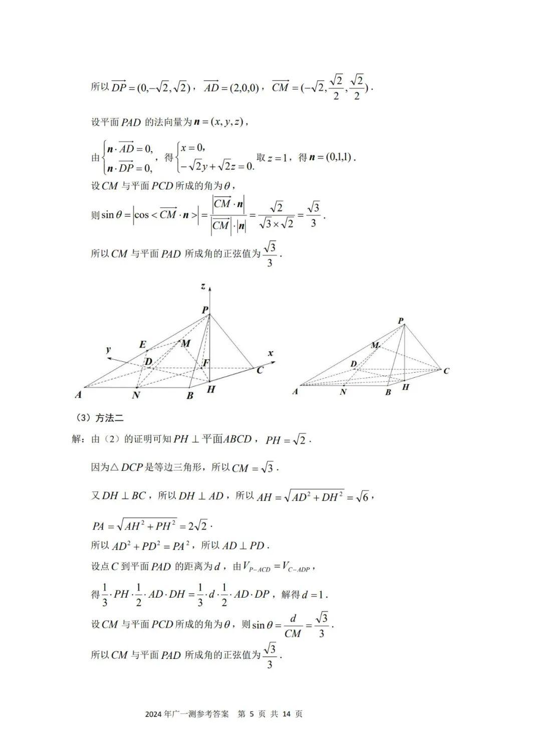
2、2024广州一模数学试卷及答案



















3、2024广州一模物理试卷及答案








4、2024广州一模历史试卷及答案








5、2024广州一模英语试卷及答案











6、2024广州一模化学试卷及答案










7、2024广州一模地理试卷及答案








8、2024广州一模政治试卷及答案













9、2024广州一模生物试卷及答案









下面是2023年广州一模的分数线划线情况:
物理类:I档585分,II档562分,III档499分,IV档/本科397分,V档/专科255分
历史类:I档558分,II档538分,III档500分,IV/档396分,V档/专科260分
注:I档对应985及以上,II档可理解为对应211,III档为特控线。
高考志愿填报总结与祝福
在高考志愿填报的道路上,每一位考生都充满了期待与憧憬。愿你们在了解各科试卷及答案解析的基础上,能够更加明确自己的兴趣与目标,合理规划未来。祝愿所有考生在高考中取得优异成绩,顺利进入理想的大学,开启人生新篇章!